颜色是人眼对可见光的视觉感知响应,在颜色科学和颜色测量领域,颜色可用颜色三要素来描述,即色调、明度和饱和度,颜色三属性可以用不同的颜色立体示意模型来形象地表示。为了通过颜色模型度颜色进行定量的表示,色度学就规定了颜色定量描述和表示的方法。本文为大家做了相应的介绍,感兴趣的朋友可以了解一下!

在绚丽多彩的世界里,颜色的品种众多,但各种颜色之间并非都是孤立存在的,它们之间有一定的内在联系。每种颜色均可用3个参数:色调、彩度及明度来表征。
为了定量地表示颜色,通常有两大类表色系统:显色系统及混色系统。显色系统是以标准物体(如色卡)的色外观为基础进行比较而表示的;混色系统的原理是采用光的混色实验求出与某一颜色相匹配所必需的色光的混合量。
1.显色系统
孟塞尔表色系统是最具代表性的显色系统,该表色系统用心理学三维空间的类似球体的模型将颜色的3种参数:色调、彩度及明度全部表现出来,在立体模型中的每一部位都代表一个特定的颜色。孟塞尔表色系统采用表示颜色的色卡,直观且易于理解,但表示某些颜色时必须进行内插、外插等操作,因而精度较低。
2.混色系统
CIE表色系统是最为流行的混色系统,它采用分光光度法对颜色进行分析,精度高,对于实际上不存在的色刺激也能表色。
XYZ三刺激值是目前CIE表色系统的基础。XYZ三刺激值是基于三原色学说提出的,该学说指出“在人类的视网膜上存在能感受红、绿、蓝色的光接受器(锥状体),一切颜色特性均可由这些锥型体的响应量的比例来表示”,通常可以用XYZ三刺激值来表示颜色。
L*a*b*色空间是目前最流行的用于测量物体颜色的色空间。它是CIE(国际颜色管理委员会)于1976年定义的均匀色空间之一。在该空间中,L*为明度,+L*为白色方向,-L*为黑色方向。a*,b*为色度坐标,其中+a*为红色方向,-a*为绿色方向,+b*为黄色方向,-b*为蓝色方向,中心为无色。L*、a*、b*可由三刺激值X、Y、Z计算而得。
L*C*h 色空间与 L*a*b*色空间的色度图相同,但该色空间为柱面坐标而不是直角坐标。L*表示明度,与L*a*b*色空间的L*值相同,C*为彩度,h为色度角。
1.色刺激值
其定义为进入人眼引起色觉的辐射量。它的相对光谱功率分布φ(λ),称为色刺激函数,光源色的色刺激函数即为它的相对光谱功率分布s(λ),物体色的色刺激函数φ(λ)=τ(λ)·s(λ)或φ(λ)=ρ(λ)·s(λ),其中τ(λ)和φ(λ)是物体的光谱透射比和光谱反射比。
2.三刺激值
任一颜色刺激可由三个参照刺激适当的代数和合成,CIE(国际照明委员会)规定用于匹配等能光谱刺激的三原色的数量为x(λ),y(λ),z(λ),称为CIE1931标准色度观察者光谱三刺激值。任一个色刺激函数φ(λ)颜色的三个刺激值为:

3.色品坐标
色品表示颜色的性质。色品(度)坐标一般采用直角坐标,由三刺激值各值与它们之和的比表示。色品坐标的三个分量值为x=X/(X+Y+Z),y=Y/(X+Y+Z),z=Z/(X+Y+Z)=1-x-y。C点为标准光源C的色度坐标(xn,yn),Q为被测色的色度点,CQ连线与光谱轨迹交于 D、P 点,对应波长为入(λd,λd)为Q色的主波长,决定Q 色的色调,λp(xp,yp)为补色波长,和主波长互补。(Q色离光谱轨迹愈近,颜色纯度愈纯,反之则愈不纯。故待测色Q点在色品坐标图上的位置可反映出该色的颜色纯度。)
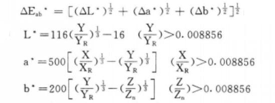
4.色差
即两颜色色刺激值之差。CIE1976(L*a*b*)表色系的色差表示为:

XR、YR、ZR为CIE标准照明体照射在完全漫反射物体上反射到观测者眼中的白色刺激的三刺激值。