色差仪是怎么测色差的?色差仪在测量颜色时,模拟的是人眼看色的过程,根据Lab原理,测量出颜色容差△E以及△L、△a、△b值用以进行试样和标样的对比,进而提供数字化的参考依据。那么,影响色差仪色差精度的因素有哪些?本文对色差仪测色原理及色差测量影响因素做了介绍,对此感兴趣的朋友可以了解一下!

色差仪是通过模拟人眼对红、绿、蓝光感应,根据Lab原理,测量出颜色容差△E以及△L、△a、△b值用以进行试样和标样对比的光学测量仪器,通常被应用在布料漂染,塑品制作等对色彩重视度较高的行业品质控制过程,保证工作上的测色需要,但是目前还没有引入到光伏组件测色应用,仍在导入阶段。
目前常用的色差仪分为三类:手持式、便携式和台式色差仪。手持式色差仪精度较低且无法导出数据;便携式色差仪精度较高,且除了直接显示数据外也可通过连接电脑进行数据传输;台式色差仪精度最高但是体积庞大。因此便携式色差仪为目前被普遍使用的一款精密色差仪。
色差仪以L、H、C、a、b五个输出结果作为颜色标尺被感知并测量,但是H和C仅仅作为视觉容差和色彩鲜艳度的一种表达方式。其中最主要的影响因素为L、a、b。
L代表明度,L的值越大代表越亮,即越靠近白色,反之则靠近黑色;
a代表色环的横坐标,-a到+a代表颜色从绿色到洋红;
b代表色环的纵坐标,-b到+b代表颜色从蓝色到明黄;
其他影响因素还有H和C,H代表色调角,C代表饱和度。
△L、△a、△b通常被用来表示标样点和试样点的明度、横向色彩度及纵向色彩度的差异,在色环系中代表了试样点和标样点的矢量距离。通过△L、△a、△b,根据公式可以得出总容差△E,代表试样点和标样点的色彩偏移程度,△E数值越大,说明色差越大。

其中△a2+△b2为色环坐标系中试样点到标样点的矢量距离,根据公式推演,若标样点在三维坐标系中为原点,那么试样点和标样点的颜色差异△E即为试样点到原点矢量位移绝对值的1/2。由此推论,当检验条件一致并且满足STC要求时,因明度产生的颜色误差将趋于无限小,在我们的数据统计中可默认将明度造成的系统误差降低为0。
物体颜色信息十分广泛,颜色的确定需要色调、明度和饱和度三大要素或三原色(红绿蓝)的刺激值。影响颜色检测准确度的参数主要有:照射光、物体反射、光源方位、观测方位和传感器性能等,任何一个参数发生变化都会导致观察到的颜色发生变化。
1.光源的影响
照射光包含有太阳光和外界杂散光,太阳照射角度、云层厚度和其它天气条件都会导致照射光发生变化,从而导致被测物体颜色发生变化。
CIE(国际照明委员会)推荐了几种标准照明体和标准光源,制定了标准照明条件、测量条件和白色标准,以便各国的颜色参数能够交流、对比。照明光源的光谱功率分布与物体呈现的颜色有密切的关系。同一物体,在不同的光源照明下具有不同的颜色。
为了较为准确和规范地描述色调,CIE制定了4种标准光源,以统一色调值。这4种标准光源的名称见下表,在这4种标准光源中,常用C光源和D65光源,我国以D65为标准光源。

2.光源方位和观测方位的影响
光源方位,也就是被测物体指向光源的法线方向,它决定了有多少太阳光或外界杂散光作为入射光。观测方位是指被测物体指向传感器的法线方向。它决定了反射到传感器中的光强。光源方位和观测方位都是影响测量结果的因素。此外,照明光束的孔径和测量光束的孔径大小对颜色测量结果也有影响。将照明几何状态、照明光束的孔径、测量光束的孔径统称为照明和测量条件。在色度学中CIE推荐了45/0、0/45、d/0、0/d四种照明观测条件,国家标准局又增加了t/0、0/t两种照明观测条件,同一颜色物体在不同照明观测条件的仪器上测量结果是不一致的。
3.被测物表反射状况的影响
照明几何状态对测量结果会有很大的影响,绝大多数待测物体不是完全的漫反射体,表面有部分的规则反射。照射在物体上的辐射通量一部分被吸收,一部分可能透射过去,其余部分被有方向性地反射出来。被吸收的辐射通量转化为热能,透射部分朝着离开眼睛的方向传播,这两部分辐射通量对眼睛都不起作用,只有由物体从一定方向反射而进入到眼睛的那部分辐射通量才构成颜色刺激。因而同样的物体在不同的方向上有不同的反射或透射。
传感器探头与被测物之间的距离影响着输出信号,可能会造成不同颜色信号的交叉,形成测量误差,所以存在某一最佳距离对输出特性影响最小,以保证颜色与输出信号的一一对应关系。被测物表而的较明显凹凸区域也会给输出信号带来较大的误差,为此,有人先后提出了反射模型以弥补测量误差。
颜色空间又称彩色模型,彩色空间或者彩色系统,颜色空间是由组成颜色的三个分量构成的一个三维空间,它的用途是在某些人为规定的标准下对色彩加以抽象表示,或者说是色彩在不同的标准下的简化描述形式,本质上,彩色模型是坐标系统和子空间的表述,处于各种形式的坐标系统中的每个点都有唯一对应的值表示,即尽可能直观地用空间中三个分量值的不同来表示对应颜色的差异。目前,CIE1976L*a*b*颜色空间和CIE1976L*u*v*颜色空间是色差仪最常用的两个颜色空间。
1.CIE1976L*a*b*颜色空间
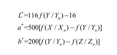
CIE1976L*a*b*(又称为CIEL*a*b*或CIELAB)均匀颜色空间与X、Y、Z三刺激值的转换公式如下:

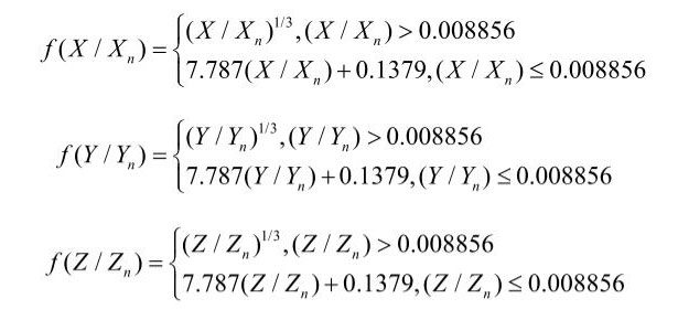
其中,L*是明度坐标,a*和b*是色品坐标,f(X/Xn),f(Y/Yn),f(Z/Zn)分段函数表达如下:

其中,X、Y、Z是颜色样本的三刺激值;Xn、Yn、Zn是照明光源颜色的三刺激值。
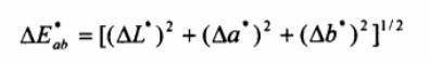
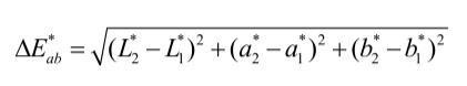
该均匀颜色空间的色差即三维颜色空间两点之间的距离△E*ab,计算如下:

在理想颜色空间中,用颜色坐标点之间的距离表示视觉色差的方法,在颜色复制和颜色控制工业中得到了广泛的应用,且大部分现代色差公式都是基于CIELAB 颜色空间之上得到的。
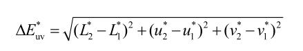
2.CIE1976L*u*v*颜色空间
CIE1976L*u*v*(简称为CIELUV)均匀颜色空间用三维坐标系统明度指数L*和色品指数u*、v*来表示颜色,改善了CIELAB颜色空间的均匀性,定义公式如下:

与CIE1976L*a*b*相似,L*,u*,v*是X,Y,Z通过非线性变换得到的,同样用两点间的距离表示颜色之间的色差:

与CIELAB颜色空间不同,CIELUV颜色空间更多地应用于光源色和自发光色领域,如电视和计算机屏幕色。