色差仪在测量颜色时,是在特定的色度系统下,将颜色信息用不同的符号表示出来。对于色差仪测色系统的了解,有助于更好的利用色差仪进行颜色测量。本文对色差仪测色系统的含义及色度参数做了介绍。

CIE1931RGB色度系统最早由W.D.Wright和J.Guild建立。以色光三原色红(700.0nm)、绿(546.1nm)、蓝(435.8nm)光谱作为匹配基准,在2°视场范围内对获取的物体光谱颜色进行匹配。CIE1931RGB色度系统的建立为色度学计算提供了有效的理论基础。但是,在CIE1931RGB色度系统中,刺激值均存在负值问题,将其应用于颜色计算增加了运算的复杂性,其中三刺激值r、g、b曲线如下图所示。

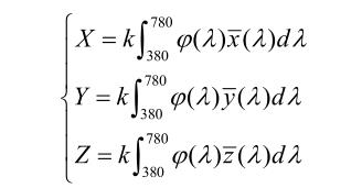
为解决CIE1931RGB色度系统中的负值问题,CIE于1931年建立了CIE1931XYZ色度系统,以设想三原色X,Y,Z取代R,G,B三原色。其中,CIE1931XYZ色度系统三刺激值与CIE1931RGB色度系统三刺激值之间的换算关系式如下所示:

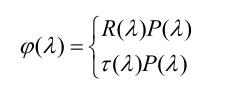
其中:x(λ)、y(λ)、z(λ)为CIE标准色度观察者的三刺激值;φ(λ)为颜色刺激函数,公式如下所示:

其中:P(λ)为照明光源的光谱分布;R(λ)为反射物体的光谱反射率;τ(λ)为透射物体的光谱反射率;k为归一化系数,通常将光源Y值设定为100对k值进行求解,由下列公式来定义:

该系统光谱三刺激值适用于垂直观察,视场范围为1°-4°。CIE1931XYZ色度系统如今得到广泛应用,其光谱三刺激值曲线如下图所示。

但是,CIE1931XYZ 色度系统也存在如下缺点:假想 X,Y,Z三原色值与表示的颜色难以对应;色度均匀性较差;CIE1931XYZ色度系统不能较好的直观评价颜色信息。
CIE1931标准色度观察者的数据代表了在2°市场内的色觉平均特性,经过实践表明,人眼在观察大于4°的视场时,标准观察者函数在波长380nm-460nm范围内的数值偏低,为了校正该区间内的数值,CIE规定了CIE1964补充标准色度观察者光谱三刺激值,简称为CIE1964标准色度观察者函数,如下图所示,对应的色度系统也称为CIE-X10Y10Z10标准色度系统。由图中可以看出,CIE1964标准色度观察者函数和CIE1931标准色度观察者函数基本一致,当人的观察视场大于4°时,为了得到精确的结果,应该使用前者进行计算。

CIE推荐的X,Y,Z空间是不均匀的,在此空间中,两对等距的颜色点,并不一定给人以相同的颜色感觉。为了提高计算结果与视觉的相关性,CIE推出了几种均匀颜色空间(CIE1964W*U*V*、CIE1976L*u*v*、CIE1976L*a*b*等),其中应用最广泛的是CIE1976L*a*b*均匀颜色空间。当X,Y,Z和X0,Y0,Z0满足条件X/X0>0.008856,Y/Y0>008856,Z/Z0>0.008856时,其坐标参数为:

当X/X0,Y/Y0,Z/Z0三个值中任一个小于 0.008856 时,其坐标参数为:

式中的X0,Y0,Z0代表CIE标准照明体照射在完全漫反射体上,然后反射到人眼中的三刺激值,其取值如下表所示。

L*为明度指数,表示黑-白轴,a*和b*为色度指数,分别表示红-绿轴和黄-蓝轴。L*为10时,表示对光完全散射的漫射体:L*为0时,表示对光完全吸收的黑体。a*值越大,样品的色调越红;b*值越大,色调就越黄。