显色指数是光源显色性的量度,以被测光源下物体的颜色和参考标准光源下物体颜色的相符程度来表示。显色指数也叫综合显色指数或叫一般显色指数,用符号Ra表示。那么,光源显色指数怎么计算?本文对光源显色指数计算方法做了介绍。

显色指数是描述光源显色能力的技术指标,用CRI表示。显色性也称演色性或传色性,它是光源的一个重要指标。光源对物体的显色能力称为显色性,是通过与同色温的参考或基准光源下物体外观颜色的比较产生的。光所发射的光谱成分决定光源的光色,相同光色的光源会有相异的光谱组成,光谱组成较广的光源较有可能提供较佳的显色品质。当光源光谱中很少或缺乏物体在基准光源下所反射的主波时,会使颜色产生明显的色差。色差程度,愈大,光源对该色的显色性愈差。显色指数是目前定义光源显色性评价的普遍方法。
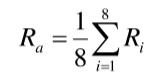
为了准确测定光源的显色指数,国际照明委员会于1948年制定了显色指数的测定方法。用8个标准颜色样品在标准光源和待测光源照射时产生的色差,算出每一个样品的显色指数。这8个颜色样品的显色指数用R1、R2、R3、R4、R5、R6、R7、R8表示。综合显色指数是8个特殊显色指数的平均值。Ra越大,显色性越好;反之,显色性就差。如果各色物体受照的效果和标准光源照射时一样,则认为该光源的显色性好(显色指数高);反之,如果物体在受照后颜色失真,则该光源的显色性就差(显色指数低)。
光源的显色指数可以规定为三个范围,显色指数大于75的光源为优质显色光源,越接近100,显色性越好;显色指数在50~75之间的光源,显色性一般;显色指数小于50的光源,显色性差。光源的显色指数较低时,物体在这一光源下会发生变色或失真,显色指数越低,变色或失真情况越严重。目前,印刷行业所用的光源的显色指数一般不低于90,彩色摄影、彩色影视等与颜色有关的行业部门也要求用显色指数大于85的高显色性的光源。
这种方法采用显色指数来说明光源显色性的好坏。光源的显色指数是待测光源下物体的颜色与基准光源下物体的颜色相符程度的度量。国际照明委员会规定用普朗克辐射体或标准照明体D(即组合日光)作为基准光源,根据基准光源下和待测光源下颜色样品的色差△Ei,就可由下式算出显色指数:
1.特殊显色指数


2.一般显色指数

按照这种计算方法,基准光源的显色指数最大,都等于100。
从计算显色指数的标准方法可以知道,只要光源的色温Tc一经确定。则根据普朗克辐射体和标准照明体D的相对能量分布公式,基准光源的相对能量分布就可以完全确定,从而按照标准计算方法的具体步骤Uri、Vri,Wri、ur和vr就可以完全确定,也就是说对于每个Tc,都可以获得相应的Uri、Vri、Wri、ur和vr值,与之一一对应。
如果能找到一个较简单的经验公式f=f(T)(其中表示Uri,Vri、Wri、ur和vr),就可以使显色指數数的计算过程大为简化,沃尔特建立的经验公式是f=a+bm+cm2(对于Wri实际上采用f=a+bm),其中m=102/Tc,系数a、b、c的值可参考相应的文献。利用沃尔特公式a、b、c值,只要知道光源的色温Tc,就能很方便地算出Uri、Vri、Wri、ur和vr,进而就可以计算出光源的显色指数。