色差仪是颜色差异量化的重要工具,其在对比色样之间的颜色差异时,可以通过仪器内置的色差公式,给出色样之间比色后的总色差值。ΔE*ab色差公式是色差仪中常见色差公式,也是目前使用最为广泛的色差公式。本文对色差仪ΔE*ab色差公式计算式及计算式组成含义做了介绍。

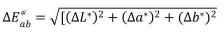
ΔE*ab色差公式是CIELAB色差公式的简称,是色差仪中目前使用最为广泛的一个色差公式。CIELAB色差公式是基于近似均匀的三维颜色空间建立的,由直角坐标L*、a*、b*构成,国际照明委员会推荐使用。该色差公式建立在CIELAB颜色空间之上,在L*a*b*公式中,L*表示明度,a*表示红色和绿色的成分,b*表示黄色和蓝色的成分。色差是指用数值的方式表示两种颜色给人色彩感觉上的差别,若两个颜色都是按照L*a*b*标定的,则两个颜色之间的色差可以用欧式距离来计算:

其中,△L*是CIELAB空间的明度差,△a*是CIELAB空间的红绿色光差,△b*是CIELAB空间的黄蓝色光差。
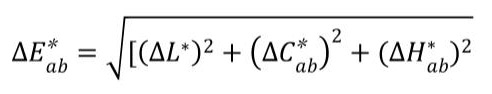
△a*和△b*表示样本和标准在ab*平面上位置的改变。如果将CIELab均匀颜色空间转化为极坐标空间,则能更好地表示色差的性质,极坐标空间用LCH表示。因此,CIELAB色差公式也可以用明度差△L*、彩度差△C*ab和色相差△H*ab来定义,即:

△E*ab色差公式计算过程是在均匀的CIELAB色彩空间中定义的,以标准色坐标点为中心的椭球。它在L*、a*、b*三个方向上的长短半轴长度则用△L*、△a*、△b*来表示。
亮度差公式:

△L*是亮度差,指测试样本和标准样本的颜色深浅差。如果△L*>0,则测试样本亮度比标准样本亮度浅,如果△L*<0,则测试样本亮度比标准样本亮度深。
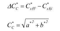
饱和度差公式:

ΔC*c和度差,表示颜色偏离亮度灰色的程度,即用来描述样本的颜色鲜艳度。如果C*c>0,则表示测试样本比标准样本颜色鲜艳,如果C*c<0,则表示标准样本比测试样本颜色鲜艳。
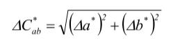
色度差公式:

△a、△b表示色调偏差,在测色配色系统的颜色检测中,不仅要考虑总色差值,还要考虑分色差值,这样有利于分析样品颜色深浅和色调鲜艳度在总色差中的百分比权重。
色相角差公式:

△H*表示色相角差,在a*和b*平面的样本颜色点相对于标准颜色点的位置关系决定了色相角ΔH*的大小。
△E*ab色差公式的缺陷主要是因为它所基于的CIE1976LAB颜色空间具有一定的不均匀性。Luo和Rigg收集了大多数的表面色的实验数据,并用这些数据集中绘出了一百多个辨别椭圆。下图是在CIELABa*b*图中画的这些椭圆。

上图清楚地说明了CIELAB是个均匀性很差的颜色空间,至少和小色差有关。如果CIELAB空间是个完美理想的均匀颜色空间,所有的椭圆都是同尺寸的圆圈。可以发现图中的一些趋势:接近中性色的椭圆最小;随着饱和度的增加椭圆变大变长;除了蓝色区域外,大多数椭圆都指向原点(非彩色点)。