色差仪作为光电仪器,为了保持仪器测试的稳定性及测量结果的准确性,就需要对仪器进行计量检定。在色差仪的计量检定过程中,会涉及到一些指标,如重复性、示值误差等。那么,色差仪计量检定中的重复性和示值误差什么意思?本文对色差仪计量检定中的重复性和示值误差做了介绍。

1.重复性含义
重复性是指同一测试样品在固定的实验条件下,由同一测量仪器按照相同的测量方法在一定的时间内连续重复测量得到的结果之间一致性的接近程度。重复性是衡量测量系统精密度的指标之一,而影响精密度的主要因素是随机误差,对于织物在线色差测量系统而言,主要有光源功率变化、颜色传感器内部电路随机噪声、系统组合装配的不稳定性等影响因素,因此重复性指标对测色系统性能评价至关重要。
2.重复性检定
重复性检定过程为在仪器开机15分钟工作稳定后,连续测量参考白板8次,且在此过程中标准参考白板和仪器的相对位置保持固定不变,最后对测量结果的颜色三刺激值,色品坐标和色差等参数进行重复性评价。对于重复性指标s的计算方法主要如下式所示:

式中,ui为代表了重复性指标各项数据的第i次测量值,u为各项数据的测量平均值,n为测量的次数。
1.示值误差含义
示值误差指的是测量值与标准值的差值,也可称为准确度,在测色仪器中可理解为测试结果与标准仪器测量结果相符合的程度。影响系统准确度的因素主要是系统误差,系统误差的大小与方向在测量过程中保持不变,或者按一定规律变化,在织物色差在线测量系统中,系统误差来源于测量几何条件、测量距离、测量环境、杂散光以及颜色传感器本身测量精度等因素的影响,任何一个因素的改变,都会影响颜色测量的结果。示值误差检定指标要求如下表所示。

2.示值误差检定
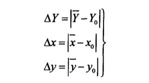
在色差计检定规程中,规定示值误差的检定过程为使用测色仪器分别对白、红、绿、蓝、黄5种颜色的色卡进行测量,取其三刺激值的Y值以及色品坐标进行示值误差的计算,每种颜色的色卡需要在标准测量条件下重复测量三次并取其平均值,示值误差计算方法如下式所示:

式中,Y、x、y为颜色数据的测量平均值,Y0、x0、y0为颜色数据的标准参考值。