光源的色温是光源的颜色与某一温度下的黑体发射光的颜色相同,此时黑体的绝对温度值。当光源发射光的颜色和黑体不相同时,就会用相关色温的概念来描述光源的颜色。那么,色温和相关色温一回事吗?色温和相关色温怎么计算?本文对此做了介绍。

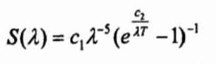
如果一个光源发射光的颜色(即光源色)与某一温度下的黑体发射光的颜色(即色品)相同,那么,此时黑体的绝对温度值就叫做该光源的颜色温度(简称色温)。黑体发射光的相对光谱功率分布由普朗克定律给出:

式中T为黑体的绝对温度;λ为波长;C1为第一辐射常数,C1=3.7417749x10-16w·m2;C2为第二辐射常数,C2=1.4388x10-2m·K。
当光源发射光的颜色和黑体不相同时,我们用“相关色温”的概念来描述光源的颜色。相关色温的定义是:在某一确定的均匀色度图中,如果一个光源与某一温度下的黑体具有最接近的色品,此时黑体的绝对温度值就叫做光源的相关色温。
当表示光源的光源色坐标点落在黑体轨迹上时,说明该光源的光源色与某一温度下的黑体的光源色相同。计算出的就是光源的色温值。反之,当表示光源的光源色坐标点落在黑体轨迹以外时,计算出的就是光源的相关色温值。并且,当表示光源的色坐标点在色度图中偏离黑体轨迹越远,相关色温的概念越弱。
从上述概念中,可以看出当光源发射光的颜色和黑体不同时,色温的概念被扩大到更一般的“相关色温”的概念。在色温和相关色温的定义中,必须是对标准的色觉观察者而言。因为不同的色觉观察者。特别是具有色觉缺陷的观察者在评价时,将可能收到不同的结果。在相关色温的定义中、必须规定出一个最合适的,为大家所公认的均匀色度图。对同一光源,由依据的均匀色度图的不同,所求出的相关色温也不同。现规定用CIE1960UCS色度图。在上述定义中,都包括了人眼的色觉特性,因此,色温和相关色温实际上是一个心理物理量。
光源的色温是根据黑体辐射定义的。所谓黑体,是指能够在任何温度下将辐射到它表面上的任何波长的能量全部吸收。当光源所发光的光的颜色与黑体在某一温度下辐射的颜色相同时,黑体的这个温度就称为该光源的颜色温度Tc,简称色温(CT)。除热辐射光源,如白炽灯和卤素灯,其它光源色度不一定准确地落在黑体轨迹上,对于这类光源,通常用相关色温来描述光源的颜色特性。相关色温是指与具有相同亮度刺激的颜色最相似的黑体辐射体的温度,用K氏温度表示。计算色温的方法有很多种,如内插法,是寻求距离被测光源的色坐标点最近的两条等色温线,利用几何作图法估算出该色坐标点的相关色温;逐点法是计算得到(u,v)色坐标后,逐点比较其与黑体轨迹点的距离,取最小值点对应色温即为相关色温值;等几何距离间隔法,依据黑体轨迹上的各麦勒德点都是等距的,代表相等的颜色差异,从而计算待测光源的相关色温;曲线拟合法,利用解析函数拟合色温计算中的一些变量和自变量,解析函数式可以方便的使用牛顿迭代法得到最小距离点结果,J.L.Gardner计算相关色温时采用了这种方法,使用高阶多项式拟合,简化了计算。下文将对这几种方法逐一进行介绍:
1.内插法
内插法是试图寻求距离被测光源的色坐标点最近的两条等色温线,利用几何作图法估算出该色坐标点的相关色温。具体计算法如下:
由于在CIE1960UCS色度图中心,所有等色温线均垂直于黑体轨迹的直线,其斜率为k,是随着相关色温T变化(k=-1/l)其中1为黑体色轨迹与该等温线交点(垂足)处的切线的斜率。如下图所示。

当找到距离被测光源色坐标点(u,v)的最近的2条等温线后,就可以利用公式求出近似相关色温T。该方法的精度依赖于分区的数量,分区分的越多,则内插的精度就越高,但是同时计算量也相应增大。
2.逐点法
根据定义,得到(u,v)色坐标后,逐点比较其与黑体轨迹点的距离,取最小值点对应色温即为相关色温值。该方法优点是精确度高,缺点是计算量极其庞大,由于我们的黑体轨迹色温是从1000K到25000K,每一个色温对应一个色坐标点,因此需要计算24000多个距离。
3.曲线拟合法
曲线拟合法是利用解析函数拟合色温计算中的一些变量和自变量,解析函数式可以方便的使用牛顿迭代法等算法得到最小距离点等结果,从而避免了逐点查找比较带来的计算量的增大,也不失为一种好的算法。比如J.L.Gardner的7阶多项式曲线拟合用7阶多项式,拟合了黑体温度1000~10000K之间的辐射轨迹和色温T与色坐标u的函数关系,方便牛顿迭代法的使用和程序的实现。这种方法的优点是计算量小,一般只需3~4步迭代就可得出结果。但是,由于解析函数曲线的拟合度无法重现黑体辐射轨迹,尤其在高温部分,所以结果误差偏大,曲线拟合范围只局限于1000~10000K之间,超出10000K则误差迅速增加。
4.等间隔法
光源色温落在1000~25000K之间,对LED而言,色温一般落在2000~10000K之间。由于等温线垂直于黑体轨迹,按照这个思想,可以将色度图分为4个区,如下图所示。

其中两条分界线分别垂直于黑体轨迹中1000K和25000K的色温坐标。1区中色温归为25000K,3区中色温归为1000K,2区和4区中色温可以通过计算得到。等间隔法可以分为等点间隔和等几何距离间隔。此处色温区间取为1000~25000K。设待测光源的色坐标为(ux,vx)。
光源的色温和分布温度实际上是两个完全不同的概念。对于分布温度,不仅在可见光区,而对红外区,紫外区也可能有意义,对色温则只在可见光区有意义。
光源的分布温度在相当程度上表征了光源的相对光谱辐射功率分布,而相关色温与光源的相对光谱辐射功率分布的相关性较之分布温度要小得多。分布温度不涉及人的任何生理特性,是一个纯粹的物理量。而相关色温的定义中包括了人眼的视觉特性,是相对于标准色觉观察者而言的。