颜色空间也称表色系统,是定量对颜色进行描述的一种模型,例如CIEXYZ颜色模型。由于大多数的颜色模型在对颜色进行描述时,其均匀性较差,即与人眼之间的一致性存在较大的差异。因此,CIE就规定了CIEL*a*b*等均匀颜色空间。本文对均匀颜色空间CIEL*a*b*的含义及色差公式做了介绍。

定量的表示颜色感知差别的量称为色差,可以用CIE-xy色品图上的距离来求出的色差却是不均匀的,如果按照常规思维因距离相等就应该认为其感知上的颜色差异也相同,但是实际上,随着色品图上的位置不同,其感知色差也有相当大的差别,这显然是很不符合工业应用需求的。为了定量的表示色差,需要对人眼的颜色分辨能力进行测试和分析。颜色是三维量,包括明度和色品(色调,彩度或饱和度等),因此对于颜色分辨力的研究需要从光亮度分辨力,波长和色纯度的分辨力以及色品的分辨力三方面进行讨论。为了在色品坐标的均匀性提高的同时,使其明度的均匀性也得到改善,应考虑将均匀色品标尺和均匀明度标尺组合起来,形成一个均匀的三维空间,称之为均匀颜色空间,并在此均匀空间对颜色差异性进行评价。
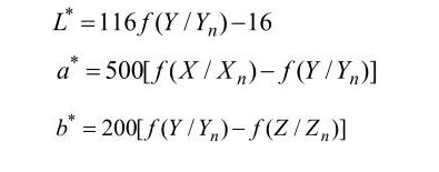
CIELab均匀颜色空间是CIE1976L*a*b*颜色空间的简称,CIELab颜色空间是CIE1931标准色度学系统的非线性变换,它将XYZ直角坐标颜色空间转换为柱面极坐标,将三刺激值XYZ转换成与眼睛视觉相一致的明度L*和色度a*、b*,其中a*、b*与色调、饱和度的感觉相一致。其与XYZ之间的转换关系为:

该均匀颜色空间表示颜色的方式,模拟了人眼对颜色的感觉。颜色的明度感觉用纵坐标轴L表示,黑色位于最下端,对应明度L=0;白色最亮位于最上端,对应明度L=100。a轴与b轴共同表示彩色的特性,a 轴正方向代表红色(偏品红)的变化,a轴负方向代表绿色的变化;b轴正方向代表黄色变化,b轴负方向代表蓝色变化。这四个变化方向构成互补对抗颜色的模型。
一定的颜色空间肯定有相应的色差公式,CIELab颜色空间为均匀颜色空间,在与颜色感觉一致的均匀颜色空间内,两点之间的色差表示为其坐标点之间的距离,即:△E*ab=[(L*1-L*2)2+(a*1-a*2)2+(b*1-b*2)2]1/2。
式中,L*1、a*1、b*1和L*2、a*2、b*2分别是两点的坐标值。色差公式的几何意义是在均匀颜色空间以标准色样的坐标点为中心的一个椭球,其在L*、a*、b*三个方向的半轴长分别为(L*1-L*2)、(a*1-a*2)和(b*1-b*2)。若规定椭球内的颜色满足色差容限的要求,则椭球外的颜色与标准色样的色差超出了色差容限范围,便不满足色差的要求。总色差还可以分解为明度差、色调差和饱和度差等三个感觉分量,即:
△L*ab=L*1-L*2
△C*ab=[(a*1)2+(b*1)2]1/2-[(a*2)2+(b*2)2]1/2
△h*ab=[(△E*ab)2+(△L*ab)2-(△C*ab)2]1/2