色差公式是实现对颜色定量描述的一种方法,长期以来,为了定量的表示两种颜色之间的视觉差异,包括国际照明委员会在内的很多机构不断的提出新的色差公式,其中CIELUV和CIELAB色差公式得到了广泛的应用。本文对色差计算公式的类型及CIELUV和CIELAB色差公式做了介绍。

均匀色空间是从CIE的Y,x,y角度出发,探索均匀明度标尺和均匀色品标尺组成的均匀色空间,如CIELUV色空间;而CIE1976LAB色空间由对立色空间组成。色差公式的建立必须要首先建立在一个均匀颜色空间。
色差公式是实现对颜色定量描述的方法,从而对有色商品的生产管理指导方向。长期以来,为了定量的表示两种颜色之间的视觉差异,包括国际照明委员会在内的很多机构不断的提出新的色差公式。在 1976年之前,测量色差方法如下所述:(1)以Munsell色差公式;(2)以Macadam 椭圆色差公式;(3)以CIE色度图色差公式。CIELUV和CIELAB均匀颜色空间及其对应的色差公式得到广泛推广后,在各个领域展开应用。
CIELUV色差公式是以CIELUV颜色空间为基础建立的色差公式,在L*u*v*色度体系中,若两个色样样品都按L*、u*、v*来标定颜色,则两者之间的总色差△E*uv以及各项单项色差可用下列公式计算:

式中,ΔE*uv是两个颜色的色差;△L*,△u*,△v*是两个颜色相应量的差,由下式决定:

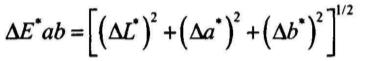
CIELAB色差公式是基于CIELAB均匀的三维颜色空间建立的色差公式,由直角坐标L*、a*、b*构成,其颜色属性差异可以用△L*、△a*、△b*,总色差使用三维空间中两种颜色坐标之间的欧几里得距离表示,如下所示:

ΔE*ab色差公式以一个数值代表总色差。ΔE*ab值越小代表色差越小,反之越大。ΔE*ab是以标准样为中心,然后在旁绘出一个球体容差范围,如下图所示。

在CIELAB色空间中的任一方向上,一个单位的色差近似等于标准观察者所能感觉到的最小差,ΔE*ab是一个距离标度,所以它的大小是可以比较的。