光源光通量怎么理解?光通量亦称“光流”,它是光源在单位时间内发出的光量,这个量是对光源而言,用来描述光源发光总量的大小,其单位为lm(流明)。那么,光源光通量怎么测试?本文对光源光通量的含义及测试方法做了介绍。

光通量:指人眼所能感觉到的辐射功率,它等于单位时间内某一波段的辐射能量和该波段的相对视见率的乘积。由于人眼对不同波长光的相对视见率不同,所以不同波长光的辐射功率相等时,其光通量并不相等。
光通量的单位为“流明”。光通量通常用Φ来表示,这是反应人眼对光线强弱反应的一个主观单位。因视觉对此尚与光色有关。所以依标准光源及正常视力度量单位采用“流明”,符号:lm。可以这样理解光通量:光通量是每单位时间到达、离开或通过曲面的光能量。
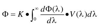
流明(lm)是国际单位体系(SI)和美国单位体系(AS)的光通量单位。如果将光作为穿越空间的粒子(即光子),那么到达曲面的光束的光通量与1秒钟时间间隔内撞击曲面的粒子数成一定比例。光通量的物理表达式为:

式中:
K:光敏度、感光度(类比:胶卷的感光度)、在较大的光强下,人眼对于555nm的单色光的感知能力K= 683.002lm/W。K值使光通量的单位与辐射功率的单位得到统一。
λ:波长,事实上人眼只对波长位于380nm-780nm的可见光有反应,习惯上我们把波长小于380nm的光波称为紫外线,把波长大于 780nm的光波称为红外线,这一点也反映在了视见函数V(λ)中。
V(λ):称为人眼相对光谱敏感度曲线,亦作视见函数曲线,是总结了众多针对人眼的测试经验而得到的,它描述了人眼对不同波长的光的主观感受的强弱。
光通量的测试主要有两种方法,即分布光度法与积分球法。
分布光度法采用分布光度计测量光源发光强度的空间分布,再由此计算得出光源的总光通量。这种方法原则上对各种光源均适用,且在仪器的角度精度、探测器的精度足够高时,能达到很高的光通量测试精度。但这意昧着昂贵且体积很大的设备,同时长达数小时的测量时间。这些特点,使得分布光度计法测试光源的光通量主要在国家级的计量机构使用,同时主要针对较大功率的传统光源与灯具。
积分球法采用积分球加光度计来实现,即将被测光源与总光通量已知的标准灯进行比较而求得总光通量的方法。这种方法简单易行,在传统光源的测量中被广泛采用。但积分球法测试光通量是建立在多个理论近似的基础上的,即忽略球内任何物体(包括光源本身、支撑杆等)对光线的吸收、球壁开口无限小、球壁处的光度探测器的光谱灵敏度与V(I)完全匹配等。对于传统光源,由于光通量较大而可以采用较大直径的积分球、发出光的空间分布接近朗伯体、光谱为连续光谱或连续光谱与脉冲光谱的混合光谱,使得光通量测试误差足够小而可以被接受。