分光色差仪是色差量化的常用工具,其在测量色差时,是通过仪器内置的色差公式,将颜色之间的差异值量化为具体的数字。目前,用于分光色差仪色差计算的色差公式有很多,其中CIE94色差公式是较常见的一个色差公式。那么,分光色差仪CIE94色差公式的计算式是怎样的?本文对此做了介绍。

CIE94色差公式是CIE于1955年推荐的一个色差公式,该色差公式是CMC色差公式的一种改良形式。CMC色差公式实际上是一个三维空间中的椭球公式,也就是说,用以目标色样的坐标点为中心的一个椭球来表示色差,椭球的大小与样品颜色与目标色的差别有关,也与具体的颜色区域有关,在不同的颜色区域用不同大小和取向的椭球来表示色差。这种计算色差的方式已经被CIE确定为今后发展色差公式的一种标准形式,主要的研究重点是如何确定公式中的系数。CIE94色差公式就是这类公式的代表。
CIE94色差公式公式规定了一些默认参考条件,如照明需采用CIE标准照明体D65、样品色差幅度在0-5CIELAB色差单位、样品结构在颜色上是均匀的、样品尺寸为视场大于4°、样品放置为直接边捻接触等。在染色工业相关应用中,这些参考条件的设置使得该公式计算出的明度、色调、彩度的差异与人眼感觉相一致。
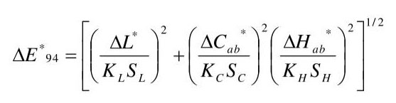
CIE94色差公式完整的名称是“CIE1994(△L*、△C*ab、△H*ab)色差模型”,缩写为“CIE94”,或色差符号△E*94。CIE94色差公式的相关表达式如下式所示:

CIE94色差公式中△L*,△C*ab,△H*ab分别表示两种颜色间的明度差、彩度差和色相差。参数因子KL、KC、KH是与使用条件相关的校正系数,它们是影响色差感觉的因素。CIE给定了一组标准观测条件,在此标准条件下,KL、KC、KH。对于一般的应用可采用这组校正系数,如果采用的系数不同,则应该以△E*94(KL:KC:KH)的形式表示,如△E*94(2:1:1)是纺织行业经常使用的计算公式。根据经验,印刷行业推荐使用△E*94(1.4:1:1)。
CIE94色差公式是对CIE1976 L*a*b*色差公式的早期改进版本,计算比较简单,已经在很多场合得到了应用,也是目前印刷行业测量仪器和应用软件所支持的色差公式之一。在印刷包装行业中,科研工作者和生产质检人员已经意识到了CIE1976LAB色差公式的缺点,开始有意识地选用CIE94色差公式。一些生产检测设备的生产厂商也顺应潮流,在其生产的设备中开始集成CIE94色差公式,目前支持CIE94的仪器有很多,如三恩时色差仪基本都支持该色差公式。