CIELab、CIELuv是CIE规定的用于颜色量化的均匀颜色空间,这两个颜色空间都是在CIEXYZ颜色空间基础上发展起来的,且与CIEXYZ颜色空间之间存在一定的线性转换关系。本文对CIE颜色空间CIELab、CIELuv与CIEXYZ转换关系做了简要的介绍。

CIELab颜色空间是CIE1976L*a*b*颜色空间的简称,在该颜色空间中,颜色的明度感觉用坐标轴L*表示,黑位于最下端对应明度L*=0;白色最亮位于最上端,对应明度L*=100。a*轴与b*轴共同表示彩色的特性:a*轴正方向代表红色(偏品红)的变化,a*轴负方向代表绿色的变化;b*轴正方向代表黄色变化,b*轴负方向代表蓝色变化。a*与b*的值表示颜色感觉中的彩色成分,当a*与b*的值都为0时,颜色的饱和度为0,即非彩色,其坐标点落到坐标轴L*上。所以,所有的非彩色都位于坐标轴L*上,从下到上依次为黑、深灰、灰、浅灰和白。颜色的坐标点距坐标轴L*越远,则颜色就越鲜艳。根据这一性质可以用a*与b*的值进一步计算色调和饱和度,并使其与颜色的感觉更加接近。
CIELab颜色空间直接基于CIEXYZ颜色空间建立,是一种比CIEXYZ颜色空间更线性、更直观的颜色空间,也就是说颜色空间上相同数量的变化会产生大约相同视觉重要性的变化。
CIELuv颜色空间是CIE1976L*u*v*均匀颜色空间的简称,CILuv颜色空间的设计目标是使颜色空间中的欧几里得距离更接近人眼感知的颜色差异,即实现视觉上的均匀性。CIELuv颜色空间由L(亮度)、u*(绿-红方向的色度坐标)、v*(蓝-黄方向的色度坐标)构成。L表示颜色的明亮程度,含义与CIELab和CIELCh中的L一致,反映了颜色的明暗程度,取值范围从0(绝对黑色)到100(绝对白色)。u表示绿-红方向的色度,是描述颜色在红绿蓝维度上位置的一个参数。u值的正负和大小反映了颜色在该维度上的偏向和程度。u为正值时,表示颜色在该维度上偏向红色或黄色方向的程度;u*为负值时,表示颜色偏向绿色或蓝色方向的程度。v*表示蓝-黄方向的色度,v值的变化反映了颜色在另一个维度上的偏向和程度,与u相互配合来完整地表达颜色的色度特性。v值为正时,颜色偏向黄色或蓝色方向;v*值为负时,颜色偏向红色或绿色方向。
CIELuv颜色空间中,L*,u*,v*是X,Y,Z通过非线性变换得到的,同样用两点间的距离表示颜色之间的色差。
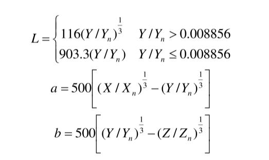
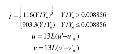
CIELab和CIELuv都是CIE彩色空间中的颜色模型。CIEXYZ也是CIE中的一种颜色模型,CIEXYZ是基于观察者视觉能力的颜色模型,它是CIE彩色空间中的基本颜色模。CIELab和CIELuv与CIEXYZ颜色空间转换关系如下:
从CIEXYZ颜色空间到CIELab颜色空间的转换,可以利用下列公式来完成:

从CIEXYZ颜色空间到CIELuv颜色空间的转换,可以利用下列公式来完成:

其中:u'=4X/(X+15Y+3Z),v'=9X(X+15Y+3Z),(Xn、Y、Zn)定义为参考白色的对应值,u'n和v'n定义为参考白色的转换值,它们的定义可以参照u'和v'的定义方式。