CIELuv颜色空间是色差仪常用颜色空间之一,属于CIE推荐的均匀颜色空间,用L、u、v三个维度对颜色进行描述,且与CIEXYZ颜色空间之间存在非线性的转换关系。那么,CIELuv颜色空间色度值与CIEXYZ色度值怎么转换?本文对此做了介绍,感兴趣的朋友不妨了解一下!

CIELuv颜色空间是CIE1976L*u*v*均匀颜色空间的简称,CIELuv颜色空间的设计目标是使颜色空间中的欧几里得距离更接近人眼感知的颜色差异,即实现视觉上的均匀性。这使得在CIELuv颜色空间中计算得到的色差与人眼的实际感受更为相符,对于颜色的准确测量、比较和质量控制具有重要意义。
CIELuv颜色空间由L(亮度)、u*(绿-红方向的色度坐标)、v*(蓝-黄方向的色度坐标)构成。L表示颜色的明亮程度,反映了颜色的明暗程度,取值范围从0(绝对黑色)到100(绝对白色)。u表示绿-红方向的色度,是描述颜色在红绿蓝维度上位置的一个参数。u值的正负和大小反映了颜色在该维度上的偏向和程度。u为正值时,表示颜色在该维度上偏向红色或黄色方向的程度;u*为负值时,表示颜色偏向绿色或蓝色方向的程度。v*表示蓝-黄方向的色度,v值的变化反映了颜色在另一个维度上的偏向和程度,与u相互配合来完整地表达颜色的色度特性。v值为正时,颜色偏向黄色或蓝色方向;v*值为负时,颜色偏向红色或绿色方向。
在CIELuv颜色空间中,若两个色样样品都按L*、u*、v*来标定颜色,则两者之间的总色差△E*uv以及各项单项色差可用下列公式计算:

式中,ΔE*uv是两个颜色的色差;△L*,△u*,△v*是两个颜色相应量的差,由下式决定:

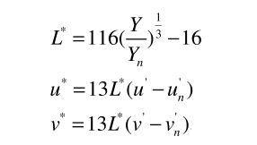
CIELuv颜色空间的L*、u*、v*是X、Y、Z通过非线性变换得到的,从CIEXYZ颜色空间到CIELuv颜色空间的转换,可以利用下列公式来完成:

其中:u'=4X/(X+15Y+3Z),v'=9X(X+15Y+3Z),(Xn、Yn、Zn)定义为参考白色的对应值,u'n和v'n定义为参考白色的转换值,它们的定义可以参照u'和v'的定义方式。
CIELuv颜色空间是为了解决颜色的等距度量而建立的,具有均匀明度标尺和均匀色品标尺,其独立性和均匀性显然优于XYZ空间。但是,由于均匀色品标尺没有把色调和饱和度分离开,所以只有一个亮度分量能用于处理,而不能利用彩色样品的色彩信息,这会把彩色样品处理限制在灰度图像处理的范围,极大地束缚了彩色图像处理的手脚,也不是应选的最佳颜色空间。相对来讲,目前推荐的最好用的量化分析颜色的均匀空间。除了继承XYZ颜色空间的优点外,还有两个新的优点:①是颜色差异的规范化空间;②CIELu*v*颜色可以由圆柱坐标表示,因此可以适应不同的需要。出于具有这些优点使这种颜色空间在对颜色有严格要求的应用场合更加实用。